NATURE
‘Ocean ranching’ has led to a pink salmon boom — but there might be a catch
- By fromermedia@gmail.com
- . July 31, 2024
Pink salmon at a hatchery pool in Canada.Credit: Juergen Freund/Nature Picture Library Salmon raised in captivity and released into rivers
Last men standing
- By fromermedia@gmail.com
- . July 31, 2024
In a golden shimmer, the bland government man materialized on the pad, coming alive in his cheap suit, carrying a
How pregnancy transforms the brain to prepare it for parenthood
- By fromermedia@gmail.com
- . July 31, 2024
In November 2008, neuroscientist Susana Carmona — then a postdoc studying attention deficit hyperactivity disorder — was driving two colleagues
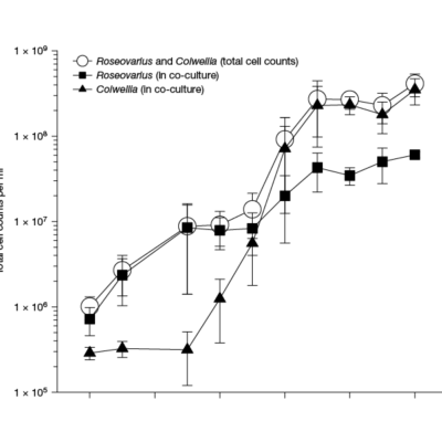
A joint bacterial effort to produce vitamin B<sub>12</sub>
- By fromermedia@gmail.com
- . July 31, 2024
Nature, Published online: 31 July 2024; doi:10.1038/d41586-024-02474-7 Vitamin B12 consists of two molecular components and has been thought to be
Charged-up butterflies draw pollen through the air
- By fromermedia@gmail.com
- . July 30, 2024
Butterflies and moths are more than just pretty flyers. As they flutter around flowers, the insects charge up like tiny
New study links birds’ diets to forest health
- By fromermedia@gmail.com
- . July 30, 2024
When you’re hungry and far from home, you might find yourself being less picky about what you eat. Not so
How to spot a predatory conference, and what science needs to do about them: a guide
- By fromermedia@gmail.com
- . July 30, 2024
Last year, Kutubuddin Molla disappointed a postdoctoral colleague who had sought his advice about a conference in Italy. “I quickly
Predatory conferences are on the rise. Here are five ways to tackle them
- By fromermedia@gmail.com
- . July 30, 2024
Predatory conferences exploit early-career researchers.Credit: Getty Imagine being a medical researcher invited to present at an eye-health conference in London.
Rhapsodies in green: the poetry of plant biology
- By fromermedia@gmail.com
- . July 30, 2024
Nature, Published online: 30 July 2024; doi:10.1038/d41586-024-02442-1 Poems that bring plant biology to life, and remembering the achievements of the
AI is complicating plagiarism. How should scientists respond?
- By fromermedia@gmail.com
- . July 30, 2024
From accusations that led Harvard University’s president to resign in January, to revelations in February of plagiarized text in peer-review